Skip to main navigation
Skip to main content
Skip to page footer
Français
Euskara
Harrera
Herria
Submenu for "Herria"
Historia eta ondarea
Pilota plaza
Jostalekua
Herriko etxea
Submenu for "Herriko etxea"
Herriko kontseilua
Gai zerrendak eta bilkuren bildumak
Gai zerrendak
Bilkuren bildumak
Gelak eta azpiegiturak
Herriko gelen alokatzea
Trinketaren alokatzea
Herriko aldizkariak
Eskola publikoak
Arberoan alaiki aisialdi zentroa
Desmartxak interneten
Herriko zaintze plana
Aurkitegia
Hirigintza
Submenu for "Hirigintza"
hTHP
Hirigintzako erabakiak
Hirigintza agiriak
(current)
Aitzinetikako deklarazioak
Eraikitzeko baimenak
Obrak eta moldaketak
Ingurumena
Submenu for "Ingurumena"
Ura eta garbitzea
Hondakinen bilketa
Herritarren iniziatibak
Soziala
Submenu for "Soziala"
GEUZ
Pausa lekua zahar etxea
AIGA laguntza
Herriko bizia
Submenu for "Herriko bizia"
Vira eta Vasa altxor bilaketa
Ttipia kafe elkartea
Izturitzeko merkatua
Mutturfin food truka
Elkarteak
Besta komitea
Erberua
Goratik IBHE
Abarratia
Artetxea
Arberoa ikastola
Aktibitateak eta animazioak
Kontaktua
You are here:
Commune d'Isturitz
Hirigintza
Hirigintzako erabakiak
Hirigintza agiriak
Certificats d'urbanisme
2025
2024
2023
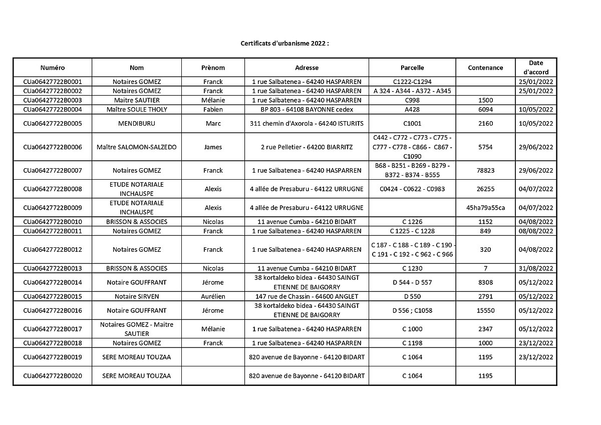
2022
2021
2020
Show larger version
Show larger version
Show larger version
Show larger version
Show larger version
Show larger version